element GetFeatureInfo
diagram mws_p297.png
namespace http://www.mapinfo.com/mxp
properties
content complex
children mxp:Url
used by
element WebMappingService
attributes
Name  Type  Use  Default  Fixed  Annotation
format  xs:string  required      
exceptionFormat  xs:string        
annotation
documentation

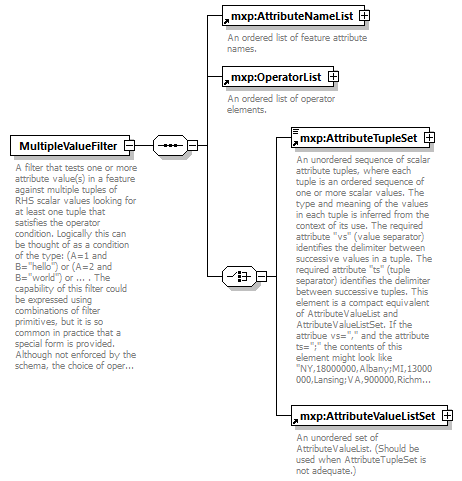
                Retrieves the underlying data, including geometry and attribute values, for a pixel location on a map.
                Url: URL to fetch information about features in the maps returned by WMS server.
                format:Return format of feature information(MIME type).
                exceptionFormat:The format in which exceptions are to be reported by the WMS (default=XML).
           

attribute GetFeatureInfo/@format
type xs:string
properties
use required

attribute GetFeatureInfo/@exceptionFormat
type xs:string

element GetFeatureInfo/Url
diagram mws_p298.png
namespace http://www.mapinfo.com/mxp
type xs:anyURI
properties
content simple


Copyright 2007, 2022 Precisely support.precisely.com